Hela
Members-
הודעות
570 -
הצטרפות
-
ביקור לאחרון
סוג תוכן
פרופילים
פורומים
לוח שנה
כל דבר שפורסם על-ידי Hela
-
אין לי את הספר של קופרמן ואני יודעת איך עושים את זה קודם כול משווים ל C ולפי C מחליטים אם זה יכול להיות אלפסואיד וכו' לפי המשוואות של כול אחד .. אבל זה לא מצליח לי .. אנא מישהו עזרה ..
-
-
-
יצא לי שזה לא נכון ... אולי אני צריכה במקום לפתור את המשוואות השניה והשלשית ואז להציב ולראות האם האיקס המתקבל הוא אותו איקס או שזה יתן את אותה התשובה?
-
כן אבל מה אז עליי לכתוב במקום החסר ?
-
מה עושים כאשר מציבים t1 ו t2 ומגלים ששני הZים שונים <???
-
לא הבנתי למה אני צריכה להשוות .. אני אמרתי שבראשון יש t1 ובשני יש t2 ואז להשוות בין שני האיקסים והוואים והזדים ובכך אין צורך למשוואה שלישית .
-
אבל אין צורך משוואה השלישית אם כך ?
-
תודה לך בסוף הצלחתי .. יש לי שאלה .. אני לא מבינה מה צריך לעשות ואיך למצוא נקודה משותפת בין שני ישרים תודה .
-
-
אני לא מבינה מה הבעיה בשאלה .. אני פתרתי לפי הכללים קודם כול מצאתי את הממוצע והצבתי בנוסחה של סטיית התקן של הממוצע .. ואני צריכה לעגל לספרה משמעותית אחת ויצא לי 0.004 אבל המודל אומר לי שזה לא נכון ... מישהו בבקשה עזרה ..
-
עכשיו יצא לי 14.385 זה קרוב מאוד למה שיצא לי בהתחלה אתה חושב שזה ישנה ??? תודה
-
נכווווווון לא שמתי לב ל 9.8 תודה רבההה!!!!!!!!!
-
לא שכחתי אותו ..תראה המשוואה הייתה כך http://www.codecogs.com/gif.latex?266+52t-5t%5E2=0 אבל יוצא לי שזה לא נכון .. :(
-
אני לא מבינה למה יוצא לי שהתשובה שלי לא נכונה אני פעלתי לפי הכללים והשתמשתי בנוסחה V0sin(teta) t- 0.5gt^2 = y הצבתי y=0 ו V0sin(teta) שהיא 52 וקיבלתי משוואה ריבועית שככה התשובה שלה שנותנת זמן תודה רבה לכול העוזרים ..
-
תודה רבה ... יש לי עוד שאלה בבקשה .. הקודונים בDNA שמקודדים לחומצה האמינית סרין הם: AGA, AGG, AGT, TCA, TCG ו-AGC. על גבי מולקולת tRNA המקודדת לחומצה האמינית סרין, נוכל למצוא את הרצף הבא: א. AGT ב. UGA ג. TCG ד. UCG
-
-
נתונה חומצה חלשה שה-pKa שלה הוא 1.8. א. מהו אחוז החומצה שתתפרק אם pH של הסביבה יהיה 1.8? ב. מה יהיה היחס בין החומצה החלשה לבסיס המצומד שלה ב-pH=2.1? כמה אחוזים מהחומצה עדיין לא התפרקו? בשאלה א' אני לא מבינה על איזה סביבה מדובר הרי אפשר למצוא אחוז החומצה שהתפרק בלי PH של סביבה זאת אומרת אפשר מה PKA למצוא את ה KA ואז לנסח תגובת שווי משקל ולחלץ משם את מס' המולים ולמצוא משם כמה התפרק (אחוז הפירוק) .. ובב' אני לא מבינה מה הם רוצים .. תודה ..
-
אני לא יודעת למה יוצא לי שזו שגיאה .. עשיתי לפי הכללים : http://www.codecogs.com/gif.latex?KNO_%7B3%7D http://www.codecogs.com/gif.latex?C=0.0251M http://www.codecogs.com/gif.latex?V=0.02914%20L http://www.codecogs.com/gif.latex?n=C.V http://www.codecogs.com/gif.latex?%5Cmathbf%7Bn=0.000731%7D414 http://www.codecogs.com/gif.latex?Pb(NO_%7B3%7D)_%7B2%7D http://www.codecogs.com/gif.latex?V=0.03413L http://www.codecogs.com/gif.latex?C=0.6245M http://www.codecogs.com/gif.latex?n=%5Cmathbf%7B0.02131%7D4185 http://www.codecogs.com/gif.latex?n(NO_%7B3%7D)=%20(2*%5Cmathbf%7B0.02131%7D4185)+%5Cmathbf%7B0.000731%7D414%20=%20%5Ctextbf%7B0.0433%7D59=0.0434%20mol וזה לא נכון :( תודה לכול העוזרים ..
-
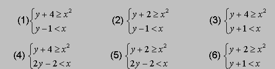
תודה רבה רבה ... אתה יכול בבקשה להגיד האם הבחירה שלי לפונקציות נכונה: א. 12 ב. 22 ג. 25 ד. 14 ה. 1 צירפתי את כול הפונקציות שמהם בחרתי .. תודה ..
-
תודה .. בסעיף ב' הקטע המשולש הזה שבצבע אדום איך אני בונה את המשוואה שלו ואיך אתה יודע להגיד שבג' יש פרבולה מסובבת זאת אומרת x=y^2 כאילו איך אתה רואה את זה ..
-
תודה רבה רבה .. אתה מוכן לתאר את בבקשה את המצב בסעיפים ב' ג' וד' כאילו על איזה נוסחה אני צריכה להתחייס בבניית המשוואה של כול אחד כי אלה כמובן לא אליפסות ... תודה ..
-
תודה .. ומה מסמל הקו האדום .. האם זה אומר שהגרף לא נכלל בתוכו ?? והצבע הלבן אני לא צריכה לכלול אותו בגרף ?? ובד' אני צריכה להגיד ש ממינוס אחד עד לאחד זה לא נכלל ואז להשתמש במשוואת מעגל .. ? תודה ..
