Hela
Members-
הודעות
570 -
הצטרפות
-
ביקור לאחרון
סוג תוכן
פרופילים
פורומים
לוח שנה
כל דבר שפורסם על-ידי Hela
-
אבל אתה מדבר על ממס פולרי אפרוטי .. אם היה מדובר על ממס פולרי פרוטי אז היית אומר שככול שהוא פולריזבילי יותר אז הוא נוקלאפויל יותר טוב .. נכון? אז כאילו יש טעות בשאלה?
-
כתוב לי שגופרית הוא נוקלאופיל יותר טוב מחנקן כי גפרית הוא יותר פולריזבילי מחנקן אבל כאן אנחנו לא יכולים להתייחס לפולרזיבליות כי אין לנו כאן ממס פולרי פרוטי אז אני לא מבינה למה התשובה היא ככה והאם זאת בעצם שגיאה בפתרון.. ( אפשר בעצם להגיד גם שבגלל שהגפרית יותר נפחי מהחנקן ולכן הוא יהיה נוקלאופיל חלש יותר מנחנקן ולכן החנקן נוקלאופיל יותר טוב מחנקן מעצם העובדה שאנחנו מדברים על ממסים אפרוטיים ) מה דעתך? אולי יש שגיאה בתשובה שהם כתבו ( כנראה הם פתרו כשמדובר בממס פרוטי ולא אפרוטי) ??
-
תודה רבה לך !! כאן למשל בתגובה הזאת SN2 יש לנו נוקלאופילים S ו N הם החליטו כאן לגבי הנוקלאופיליות באמצעות פולירזביליות של אחד יותר מהשנייה למרות שכאן יש לנו ממס פולרי אפרוטי ולא פרוטי .. אז יש כאן טעות?
-
תודה רבה רבה לך !! איך אני מגדירה מה זה נוקלאופיל חזק? פעם אומרים לי שככול שהוא פולירזבילי ( ככול שהוא נפחי יותר ) אז הוא יותר חזק ופעם אומרים שאם הנוקלאופיל נפחי יותר מדי הוא לא יכול להכנס למולקולה לתקוף ולכן הוא נחשב לחלש יותר ..? I למשל נחשב ליותר חזק מ Cl ו Br כי הוא יותר פולירזבילי אבל כאשר זה כאשר מדובר על ממס פרוטי עכשיו בממס אפרוטי ההפך זה הנכון.. אבל אנחנו לא יכולים להגיד למשל על פלאור שהוא נוקלאופיל חזק למרות שהוא מאוד ריאקטיבי וקטן נפחית .. או שאני פה פסספתי משהו ולא הבנתי :( שאלה שנייה שלי איך אני קובעת מי מבין אלה הוא הקובע אלימנציה E1 ו SN1 ואלימנציה E2 וSN2 .. כאשר יש לי למשל בסיס חזק אז זה יכול להוות נוקלאופיל ולהיות בSN2 אבל הוא גם יכול להיות בE2 אז איך אני כאן יכולה לקבוע ?... תודה רבה
-
כן אבל בשאלה הראשונה שלי אני דיברתי על אחת שהיא מזו ואחת שהיא זהה לה ויש לה את אותה קונפיגורציה אבל אחרי סיבוב של מולקולת מזו .אז שניהם לא יהיו פעילות אופטית . עכשיו קיבלנו כאן אחת שהיא מזו ואחת שהיא לא איך אני יכולה להוכיח שהשנייה היא לא פעילה אופטית למרות שאין לה מישור שיקוף שמראה שהיא מזו כי היא לא מזו אלא אחרי סיבוב של מזו.. תודה
-
תודה רבה הבנתי .. אם למשל יש לי מולקולה כזאת משמאל יש לנו מולקולת meso עכשיו מימין יש לנו מולקולה שהיא זהה למולקולה שמשמאל .. אבל בסיבוב הוא משתנה אבל לא משתנית הקונפיגורציה ולכן המולקולה נשארת זהה ולכן היא גם לא פעילה אופטית האם זה נכון ? כאילו הקונפיגורציה בכלל לא קשורה לכך שבגלל שהיא זהה אז המולקולה זהה לגמרי??? ובשאלה 46 למה התשובה לא א'? הרי א' וב' אותו דבר .. תודה ..
-
כן אבל איך אני יודעת שיש לי מרכז אנברסיה אני צריכה לבדוק קונפיגורציה ?? (בקשר לשאלה הראשונה שלי) בשנייה משמאל אני רואה שאין מישור שיקוף .. איך זה שיש ...
-
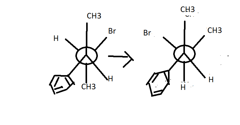
מה זה אומר מרכז אנברסיה אתה מתכוון לכך שהופכים את המולקולקה כך שנשארת אותה קונפיגורציה למשל אם יש לי מולקולה מזו ואני הופכת את אחד המרכזים הכיראיליים כך שאני לא משנה את הקונפיגורציה שלה .?? שאלה שנייה שלי היא : שאלה 49: השאלה שלי היא נכון שאלימנציה E2 מתבצעת ע"י תלישת מימן ביתא שנמצא באנטי עם ההלוגן עכשיו בציור שצירפתי זה לא נמצא באנטי עכשיו אני עשיתי היטל ניומן וסובבתי את המולקולה עד שקיבלתי שהמימן באנטי עם הברום ואחר כך תלשתי את שניהם ונוצר קשר כפול השאלה שלי האם זה היה משנה אילו לא סובבתי את המולקולה ותלשתי את שינהם כי היה יוצא לי אותה תשובה והאם בעצם מה שעשיתי היה נכון תודה רבה
-
תודה רבה .. בשאלות מהסוג הזה חייבים לדעת מה היחס ביניהם בשביל לפתור את השאלה כאליו צריך לזכור את זה בעל פה?..
-
נכון נכון סליחה ... למה שד' יתקבל יותר מג' למרות שאמרנו שכלור הוא לא סלקטיבי . אז למה הוא בוחר בין שניוני וראשוני .. והוא ירצה שנוני אבל בין שלישיוני לשניוני יבחר בשניוני אז הוא ראקטיבי כאשר מדובר בין שלשיוני וושניוני רק?
-
תודה .. איך אתה רואה שבד' זה 8 מימנים אני רואה רק 6... :(
-
תודה רבה רבה לך ! בשאלה 25 הבנתי ש 1 ,3 יראו פעליות אופטית 2 ו4 לא יראו פעילות אופטית כי אחת היא מזו והשנייה אין לה מרכז כיראלי .. עכשיו לא הבנתי למה 5 לא מראה פעליות אופטית למרות שלמיטב ידיעתי זאת לא meso כי אין לה מישור שיקוף אז מה יכולה להיות הסיבה לכך שהיא לא מראה פעליות אופטית .. ובשישית לא הבנתי למה היא מראה פעילות אופטית .. בשאלה 30 לא הבנתי למה התשובה היא ד' ? יכול להיות שבגלל מספר המקומות לתלישת המימינים שלמשל בד' יש לי 4 אפשרויות אבל בב' יש רק שתי מקומות ובג' יש רק מקום אחד?. . למרות שאם חושבים על הזה הרדיקל השלישיוני יותר יציב משניוני וראשוני ולכן התשובה צריכה להיות ב' .... תודה רבה
-
-
לא הבנתי איך אני עושה מאזן מסה .. אני צריכה להגיד שיוני H פלוס שווה לסכום H2CO3 + HCO3+CO3 ???
-
המיסו 27.9 גרם של NaHCO3 בתמיסת בופר בעלת pH =6.7 לקבלת 300 מ"ל תמיסה. חשבו את אחוז הפירוק של יוני -HCO3 בתמיסה. נתונים קבועי הפירוק לתגובות הבאות: H2CO3(aq) ↔ HCO3-(aq) + H+(aq) pKa1=6.35 HCO3-(aq) ↔ CO32-(aq) + H+(aq) pKa2=10.33 הערה: אחוז הפירוק של יוני -HCO3 הוא האחוז של מולקולת H2CO3 ויוני -CO32 בתמיסה ביחס לכמות ה- -HCO3 שהוכנסה לתמיסה. אני לא יודעת אם מה שעשיתי נכון אבל אני עשיתי ככה: קודם כול אמרתי ש : http://www.codecogs.com/gif.latex?%5BHCO_%7B3%7D%5E%7B-%7D%5D=%5BH%5E%7B+%7D%5D+%5BCO_%7B3%7D%5E%7B-2%7D%5Dhttp://www.codecogs.com/gif.latex?%5Cfrac%7B%5BHCO_%7B3%7D%5E%7B-%7D%5D%5BH%5E%7B+%7D%5D%7D%7B%5BH_%7B2%7DCO_%7B3%7D%5D%7D=%204.46*10%5E%7B-7%7Dhttp://www.codecogs.com/gif.latex?%5Cfrac%7B%5BCO_%7B3%7D%5E%7B-%7D%5D%5BH%5E%7B+%7D%5D%7D%7B%5BHCO_%7B3%7D%5E%7B-%7D%5D%7D=4.677*10%5E%7B-11%7D אני פותרת את המשוואות ואחר כך מחברת בין H2CO3 ו CO3-2 ומחלקת בריכוז HCO3- שהכניסו ( NaHCO3) אבל יוצא לי שזה לא נכון מישהו בבקשה ..
-
תודה רבה .. אני הבנתי שאין לנו כאן אוכף ואין לנו גם מקסימום .. יש לנו רק מינימום כי :: http://www.codecogs.com/gif.latex?f_%7Bxx%7D%20=%201+a%5E2 וההסיאן גדול מאפס . אבל איך בסוף קיבלנו ש a=b=0 זה עדיין לא ברור לי ... :( אתה אומר לי שאני לא התייחסתי ל 2a+b=0 אבל המשוואה הזאת לא אומרת לי בהרכח ש a=b=0 ..
-
תודה אבל מי אמר שהפונקציה מקבלת את את אותו ערך כמו הפולינום ב (1,1)???
-
לא הבנתי בשאלה שבהתחלה איך אני יכולה להוכיח שהנגזרת הראשונה והשנייה של f הם של הפולינום?? אני יכולה פשוט להגיד ש http://www.codecogs.com/gif.latex?(x-1)%5E2+(y-1)%5E2=z ואז לגזור מונה ומכנה לפי לופיטל ולהגיד שהנגזרת הראשונה שווה אבל איך אני מוכיחה שהשנייה גם .... תודה
-
תודה רבה !! כולל (0,0) ??
-
http://www.codecogs.com/gif.latex?f(x,y)=4x%5E2+3y%5E2-8x http://www.codecogs.com/gif.latex?g(x,y)=4x%5E2+3y%5E2-8x+%5Clambda%20(x+y-5) http://www.codecogs.com/gif.latex?%5Cfrac%7B%5Cpartial%20g%7D%7B%5Cpartial%20x%7D=8x-8+%5Clambda%20=0 http://www.codecogs.com/gif.latex?%5Cfrac%7B%5Cpartial%20g%7D%7B%5Cpartial%20y%7D=6y+%5Clambda=0 http://www.codecogs.com/gif.latex?%5Cfrac%7B%5Cpartial%20g%7D%7B%5Cpartial%20%5Clambda%20%7D=x+y-5=0 http://www.codecogs.com/gif.latex?%5Clambda%20=-6y http://www.codecogs.com/gif.latex?8x-8=6y http://www.codecogs.com/gif.latex?6x+6y=30 http://www.codecogs.com/gif.latex?8x-8+6x=30 http://www.codecogs.com/gif.latex?x=30/14 http://www.codecogs.com/gif.latex?y=192/84 זה מה שעשיתי לפי כופלי לגרנז' .. האם מה שעשיתי נכון או שחסר לו משהו ?
-
אבל אתה אמרת שאולי היא לא נחשבת כי לא יצאה לי בכופלי לגרנז' ?
-
אז בעצם הנקודות הקריטיות שעל השפה הם: (138/14,192/84) (1,0) ??
-
ככה פתרתי את השאלה .. אבל אני לא בטוחה .. http://www.codecogs.com/gif.latex?f(x,y,z)=%20e%5E%7Bx+2y+2z%7Dhttp://www.codecogs.com/gif.latex?%5Cinline%20%5Cfrac%7B%5Cpartial%20f%20%7D%7B%5Cpartial%20x%7D=e%5E%7Bx+2y+2z%7D=0http://www.codecogs.com/gif.latex?%5Cinline%20%5Cfrac%7B%5Cpartial%20f%20%7D%7B%5Cpartial%20y%7D=2e%5E%7Bx+2y+2z%7D=0http://www.codecogs.com/gif.latex?%5Cinline%20%5Cfrac%7B%5Cpartial%20f%20%7D%7B%5Cpartial%20z%7D=2e%5E%7Bx+2y+2z%7D=0 אין נקודות קריטיות בתוך התחום . נחפש נקודות קריטיות בשפה:נשתמש בכופלי לגרנז':http://www.codecogs.com/gif.latex?%5Cinline%20g(x,y,z)=e%5E%7Bx+2y+2z%7D+%5Clambda%20(x%5E2+y%5E2+z%5E2-4)=0 http://www.codecogs.com/gif.latex?%5Cinline%20%5Cfrac%7B%5Cpartial%20g%7D%7B%5Cpartial%20x%7D=e%5E%7Bx+2y+2z%7D+2%5Clambda%20x=0http://www.codecogs.com/gif.latex?%5Cinline%20%5Cfrac%7B%5Cpartial%20g%7D%7B%5Cpartial%20y%7D=2e%5E%7Bx+2y+2z%7D+2%5Clambda%20y=0http://www.codecogs.com/gif.latex?%5Cinline%20%5Cfrac%7B%5Cpartial%20g%7D%7B%5Cpartial%20z%7D=2e%5E%7Bx+2y+2z%7D+2%5Clambda%20z=0http://www.codecogs.com/gif.latex?%5Cinline%20%5Cfrac%7B%5Cpartial%20g%7D%7B%5Cpartial%20%5Clambda%20%7D=x%5E2+y%5E2+z%5E2-4=0 http://www.codecogs.com/gif.latex?%5Cinline%20y=z=2xhttp://www.codecogs.com/gif.latex?%5Cinline%20x%5E2+(2x)%5E2+(2x)%5E2=4http://www.codecogs.com/gif.latex?%5Cinline%20x=%5Cfrac%7B2%7D%7B3%7Dhttp://www.codecogs.com/gif.latex?%5Cinline%20(%5Cfrac%7B2%7D%7B3%7D,%5Cfrac%7B4%7D%7B3%7D,%5Cfrac%7B4%7D%7B3%7D) נקודות על השפה: http://www.codecogs.com/gif.latex?%5Cinline%20(0,0,2),(0,2,0),(2,0,0),(0,0,-2),(0,-2,0),(-2,0,0) המקסימום והמינימום: http://www.codecogs.com/gif.latex?%5Cinline%20f(%5Cfrac%7B2%7D%7B3%7D,%5Cfrac%7B4%7D%7B3%7D,%5Cfrac%7B4%7D%7B3%7D)=e%5E6http://www.codecogs.com/gif.latex?%5Cinline%20f(0,0,2)=f(0,2,0)=e%5E4http://www.codecogs.com/gif.latex?%5Cinline%20f(0,0,-2)=f(0,-2,0)=e%5E%7B-4%7Dhttp://www.codecogs.com/gif.latex?%5Cinline%20e(-2,0,0)=e%5E%7B-2%7Dhttp://www.codecogs.com/gif.latex?f(2,0,0)=e%5E%7B2%7D לכן המינימום של הפונקציה מתקבל ב http://www.codecogs.com/gif.latex?(0,0,-2)%20,%20(0,-2,0)והמקסימום של הפונקציה ב: http://www.codecogs.com/gif.latex?(%5Cfrac%7B2%7D%7B3%7D,%5Cfrac%7B4%7D%7B3%7D,%5Cfrac%7B4%7D%7B3%7D) תודה רבה
