Hela
Members-
הודעות
570 -
הצטרפות
-
ביקור לאחרון
סוג תוכן
פרופילים
פורומים
לוח שנה
כל דבר שפורסם על-ידי Hela
-
-
איך אני יודעת אם האינטגרל הזה מתכנס .. אני חושבת שאני צריכה להשתמש במבחן השוואה כי האינטגרל הזה לא פתיר .. או שלא??
-
ולמה אי אפשר למשל T( a, b ) = 0,0
-
אבל בשאלה הראשונה מה זה אומר ש http://www.codecogs.com/gif.latex?ker(T)%20=%20Im(T) איך אני יכולה להסיק מזה מסקנות .. ובשאלה השנייה למה אין טרנספורמציה לינארית? תודה
-
אני מתחננת תעזרו לי בבקשה ..
-
בשאלה הזאת אני לא מבינה מה אני צריכה לעשות .. אני מבינה ש- http://www.codecogs.com/gif.latex?ker(T)%20=%200%20 אבל זה לא עוזר לי .. וגם מה זה אומר שהספאן של 1,3 שווה לכול אחד מהם .. ופה אני לא מבינה מה אני צריכה לעשות עם וקטורי הבסיס כלומר אני מבינה שהתמונה היא צירוף לינארי של וקטורי הבסיס אבל מה אחר כך .. ואיך אני יודעת שאיזשהו טרנספורמציה היא חד חד ערכית או על ? כאילו מה התנאים ? תודה לכול העוזרים..
-
אני פתרתי את השאלה הראשונה אבל המתנט לא מקבל אני קודם כול הצבתי את הוקטורים 1 0 0 ו 0 1 0 ו 0 0 1 כדי לראות מי מהם הדטרמננטה שלו תהיה -200 ואז לא מצאתי אבל אחרי שכופלים את המטריצה ב- שורש 2 כפול i אז הדטרמננטה יוצאת נכונה אבל המתנט אומר שהיא לא נכונה והמטריצה לא שייכת לתמונה ... והשאלה השנייה שלי היא מה התנאי לקיום חד חד ערכיות ועל??? והשאלה השלישית היא איך אני יודעת האם אלה העתקות לינאריות ( התמונה המצורפת השנייה ) תודה רבה לכולם ..
-
תודה רבה והטענה החמישית ..???
-
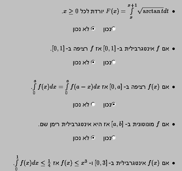
מישהו בבקשה יכול להסביר לי את הטענות כאן אני פשוט לא מבינה איך לגשת אליהם .. כאילו אני מבינה מה זה אנטגרבילית וכו' אבל זה לא מסתדר לי ... :((
-
אם f אנטגרבילית בתחום מסוים אז זה מחייב שהפונקציה תהיה רציפה ?
-
נכוווןןןן ואיי איזו סתומה אני !!! תודה !!!
-
אבל אז איך גוזרים את מינוס אחד חלק t^5 ???
-
אין לי מושג איך עושים אינטגרל לhttp://www.codecogs.com/gif.latex?%20sinx/cos%5E5x התחלתי בלהציב http://www.codecogs.com/gif.latex?t=sinx ואז http://www.codecogs.com/gif.latex?dt=cosxdx ואז הפונקציה הופכת ל - http://www.codecogs.com/gif.latex?tdt/%20(1-t%5E2)%5E2 אב אני לא מצליחה לחלק את זה כי יש לי עדיין במונה t .. תודה ..
-
האנרגיה אשר השתחררה בתגובה H2 + 0.5O2 --> H2O; Δ Hf=-285.5 kJ/mol נוצלה ליינון כל האלקטרונים הנמצאים ברמה אנרגטית n=3 ב- 5.1 מול אטומי צורן Si (בפאזה גזית). חשב/י את מסת המימן אשר צריכים לשרוף למטרה זאת (בגרמים). נתונות אנרגיות היינון לצורן: EI(1)=786.5 KJ/mol EI(2)=1577 KJ/mol EI(3)= 3232 KJ/mol EI(4)=4356 KJ/mol אני לא מבינה מה אני צריכה לעשות בשאלה הזאת .. במה לכפול ואיך ? .. ומה הקשר ארגיית יינון .. ועוד שאלה אני לא מבינה את תאוריית לואיס לקשר הכימי .. מישהו בבקשה .. אם מישהו יכול לעזור בבקשה .. תודה ..
-
אני לא מבינה איך אני יכולה לחלק את השטח שווה בשווה ..כאילו מדובר פה על קו אופקי ולא אנכי .... תודה..
-
אני יודעת שזו שאלה קלה מאוד אבל לא המתנט לא מקבל את התשובה שלי שהיאhttp://www.codecogs.com/gif.latex?%20ln42+(1/42) אני סרטטי סקיצה שמתארת את הפונקציות ביחד ואני בטוחה שזה נכון ... ::(
-
אז כאילו מומלץ לא להחליף בין השורות אלא לחשב דטרמננטה בלי להגיע לדירוג האחרון על מנת להימנע מטעויות???
-
אני יודעת שהשאלה קלה אבל אני דירגתי את המטריצה ויצא לי 4 אבל זה כנראה יוצא -4 אבל זה לא נכון !! אני פשוט מדרגת רגיל ומחשבת דטרמננטה אבל לא יוצא נכוןן!!! הדירוג שלי הוא כך: 0 0 1 12 1 0 0 12 2 0 0 0 1 0 0 9 2 0 0 0 1 0 0 0 0 תודה ..
-
אין לי מושג איך להתחיל לעשות אנטגרציה לשני הפונקציות הללו ..חשבתי קודם לחלק לשברים אבל זה לא מתאפשר בגלל X^3 +5 ... תודה ..
-
איך מוצאים את הדטרמננטה לדבר הזה? כאילו בעצם צריך קודם כול לדרג כדי שיתקבלו כמה שיותר שורות אפסים ואז צריך לעשות לכול איבר דטרמננטה אבל זה הרבה האם יש דרך אחרת ? ועוד שאלה מה זה אומר שהדטרמננטה שווה או לא שווה לאפס ..
-
זה מה שיצא לי בדיוק מה שכתבתי למעלה זה פשוט עוד קצת זהויות פה ושם על מנת שיהיה יותר הגיוני ... :\
-
פתרתי את האיטגרל וכתבתי במתנט והוא לא מקבל את זה .... :( יוצא לי : http://www.codecogs.com/gif.latex?%5Cfrac%7Bcos(x)%7D%7B2sin%5E2x%7D+%5Cfrac%7Bln(%5Cfrac%7B1%7D%7Bsin(x)%7D-%5Cfrac%7B1%7D%7Btan(x)%7D)%7D%7B2%7D מישהו בבקשה ..
-
תודה . אבל בשאלה הראשונה אני יכולה לכפול תמיד במטריצות אלמנטריות איזשהו מטריצה על מנת לקבל מטריצה אחרת או שיש צורך לעשות בדיקה אחרת על מנת לראות אם הם שקולות שורה אחת לשנייה זאת אומרת לדרג אותם ורק אז אפשר לדעת ..?
