Hela
Members-
הודעות
570 -
הצטרפות
-
ביקור לאחרון
סוג תוכן
פרופילים
פורומים
לוח שנה
כל דבר שפורסם על-ידי Hela
-
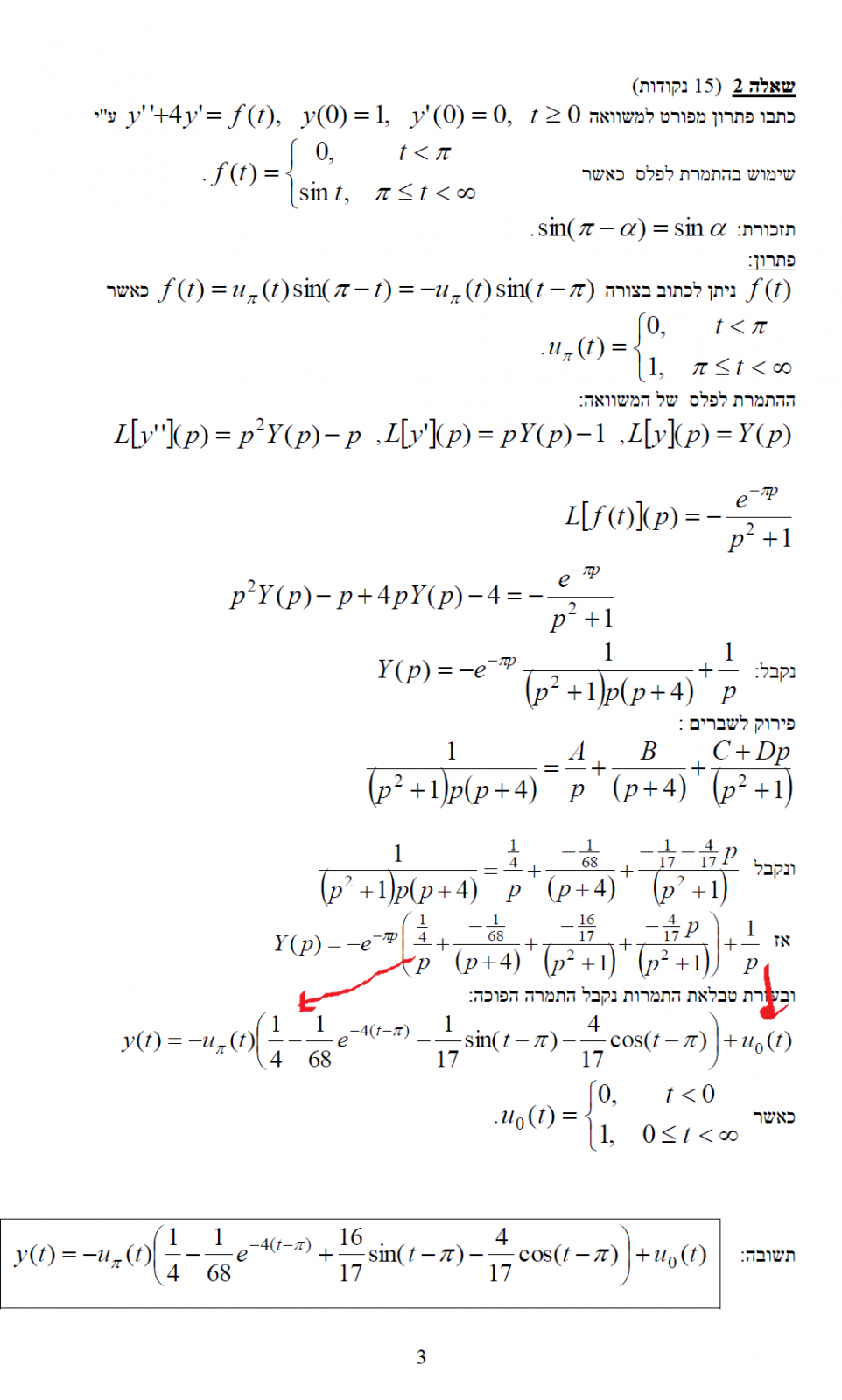
ועוד שאלה: כאן אני עושה לפי התמרת לפלס ומקבלת בסוף u0(-2pi) AAAA מה זה אמור להגיד לי? איך אני מסיקה מכאן ש y=0 ? תודה רבה רבה ..
-
תודה סימנתי באדום את ההתמרה ההפוכה של לפלס למה בשני המקרים ההתמרה ההפוכה שונה למרות שהיא אותה התמרה ? זאת אומרת למה 1/P ההתמרה ההפוכה שלה פעם היא u0 ופעם היא 1/4 אני יודעת שזה תלוי ב t אבל ה t>0 מה שאומר שu0צריך להיות 1 בשני המקרים לא? תודה
-
אולי לא הבנת את השאלה שלי או שלא הסברתי את עצמי טוב ... כאשר איקס שואף לאינסוף וc1 ו c2 שווה 0 נקבל חסום כפול 0 שזה 0 ( במקרה השלישי ) ובמקרה השני c1 ו c2 שווה0 גם יתן לי 0 אז למה רק האפשרות הראשונה היא הנכונה?
-
ועוד שאלה .. לפי דעתי כאן יש לנו לא רק אפשרות ב a<0 אלא גם בכולם .. למשל כאשר c1=0 ו c2=0 כולם מקיימים שהגבול שווה 0, למה דווקא רק a<0 האם זה בגלל שרק כאשר c1=0 אז זה נותן לנו 0 בלי לאפס את כול הc-ים? תודה ....
-
למה? הבנתי שזה שואף או למינוס אינסוף או לאינסוף אבל למה ב( 0עד אינסוף) כאשר איקס שואף לפלוס 0 זה נותן לי מינוס אינסוף ולמה דווקא פלוס 0 ולא מינוס 0 זה לא אמור להשפיע כאן לא?
-
אני מגיעה לפתרון של המשוואה אבל אני לא יודעת איך אני משם יכולה להגיע לגבול ? y=+- shoresh( x^2-cx) AA תודה לכול העוזרים
-
http://www.codecogs.com/gif.latex?y''+y=f(t) y(0)=y'(0)=0 f(t) = http://www.codecogs.com/gif.latex?1%20,%200 http://www.codecogs.com/gif.latex?-1,%201 http://www.codecogs.com/gif.latex?0%20,%20t איך פותרים את זה ע"י התמרת לפלס?? :( תודה
-
אוקיי תודה רבה ... הדרך שלך היא בעצם מצאת קודם כול את ה C ויצא לך שתי תשובות פלוס מינוס ( בגלל שהמציבים בנוסחה של המשוואה הריבועית ) משהו ואחר כך מצאת את Y' והצבת את C שקיבלת ואחר כך מצאת את Y תאג אורטוגונלי על ידי מינוס אחד חלקי Y תאג ופשוט עשית חישוב של משוואת פרידה ואחרי שאתה מוצא את Y אתה מציב את הנקודה 1,1 אני צודקת ? ככה בעצם הדרך לפתרון נכון? והאם זה נכון שצריך לצאת לי שני עקומים לבעיה הזאת או שאמור לצאת רק אחד?
-
מצא עקום שעובר ב 1,1 ואורטוגונלי ל y^3=(x-c)^2 מצאתי את שני עקומים אלה במצורפים .. האם התשובה שלי נכונה? אם מישהו יכול לעזור לי בבקשה תודה
-
אתה מתכוון מתחת לשורש יש ערך מוחלט ? 1 חלקי ערך מוחלט של ax+b משנה אם הוא 1 חלקי מינוס של ax+b או פלוס? כי אנחנו יכולים להוציא את המינוס החוצה אבל בשורש אנחנו לא יכולים להוציא בגלל שיוצא בעצם שורש של -1 שזה לא עוזר ...
-
תודה רבה .. כאשר יש לי ערך מוחלט בגורם אינטגרציה מתי אני צריכה לפצל למקרים ? תמיד כאשר יש לי ערך מוחלט אני מפצלת למקרה שבתוך הערך מוחלט יהיה חיובי ומה שבתוכו שלילי או שרק במקרים מסויימים ? למשל בדוגמא הזאת הם התייחסו לערך המוחלט ופיצלו למקרים .. אבל במקרה למשל שיש לי גורם אינטגרציה שהוא http://www.codecogs.com/gif.latex?%7C2x+3%7C למשל לא מפצלים למקרים? תודה
-
אוקיי קודם כול סליחה שהכעסתי אותך .. דבר שני אז אתה בעצם אומר שאני צודקת ( אם האינטרוול שכתבו פה התייחס לתנאי ההתחלה ) ?
-
אבל למדנו בהרצאות מד"ר שפתרון סינגולרי אנחנו בודקים במד"ר המקורי וגם דרך תנאי ההתחלה אם הוא לא מקיים לפחות אחד מהשניים הוא לא נחשב לפתרון :\
-
איךי זה שy=-1 הוא חלק מהפתרון למרות שאם מציבים אותו במד"ר הוא לא פותר אותה וגם לא מקיים את תנאי ההתחלה?
-
יש לי כאן שאלה מבחינה.. התשובה צריכה לצאת http://www.codecogs.com/gif.latex?y=%20-1+sqrt(1+lnt%5E2)%C2%A0 עכשיו בתשובות כתוב ש- y=-1 הוא פתרון סינגולרי ושהאינטרוול הוא http://www.codecogs.com/gif.latex?%7Ct%7C אבל לפי דעתי זה לא נכון ! זאת אומרת נכון שיוצא לי שהY הוא -1 פלוס שוש של 1 פלוס לן של t^2 אבל Y שווה ל-1 הוא לא פתרון סינגולרי בנוסף לכך שהוא לא מקיים את תנאי התחלה ( אבל הוא לא פתרון סינגולרי שאפשר להסיקו מהמד"ר גם ככה ! ) ובנוסף לכך שאם מציבים אותו במד"ר לא מקבלים שזה מקיים. והאינטרוול הוא לא זה אלא http://www.codecogs.com/gif.latex?t כי http://www.codecogs.com/gif.latex?t לא מתקיים כאן בגלל שבתנאי ההתחלה t=1 לכן רק http://www.codecogs.com/gif.latex?t מתקיים. אני משתגעת או שזה נכון ? :(
-
אבל בהגדרה של הוורונסקיאן X0 מראה מתי P(X) מתאפסת?
-
תודה X0 מראה מתי P(X) מתאפס? זאת אומרת ההגדרה של הוורסקיאן ללא קשר לשאלה
-
תוכל בבקשה להסביר לי את סעיף ב' בשאלה הזאת ? לא הבנתי כולכך מה עשית אתה השווית את הוורסקיאן ל5 בעצם??
-
תודה, למשל אם נניח אנחנו רוצים למצוא את השורשים של המשוואה בשאלה הזאת יש לי כאן שלוש פתרונות שאני יכולה להסיק מה השורשים כאן אבל כשאני עושה את זה אני מגלה שיש יותר מ3 וזה לא נכון כי יש לי כאן פולינום אופייני מחזקה 3 ! אני מסיקה כי יש לי את השורשים הבאים: מהפתרון הראשון יש לי 1 מריבוי 2 לפחות הפתרון שני 1 מריבוי 2 לפחות ו 1 מריבוי 1 לפחות הפתרון השלישי 0 מריבוי 2 לפחות ו 0 מריבוי 1 לפחות זאת אומרת שיש לי כאן 8 שורשים אבל זה לא הגיוני? או בעצם השיקולים שלי לא נכונים ... :(
-
תודה מפתרון המד"ר v(x)= 5x+3sinx אני יכולה להסיק שיש לי כאן שני שורשים מרוכבים r=+-i וגם השורש 0 מריבוי 2 לפחות ולכן כאן יש לי 4 שורשים והפולינום האופייני הוא (r-i)(r+i)(r^2) שווה 0 ולכן a=0, b=1 , c=0,k=0 וכך רק ג' נכון.. אבל אני לא בטוחה כי מבקשים להפריך ולהוכיח טענות
-
תודה רבה איך אני פותרת את השאלה הזאת ? אני פשוט יודעת שכאשר יש לנו xe^x אז בעצם r=1 בריבוי לפחות 2 אבל כאן יש לנו xe^x+e^x שהוא y2 ו y3 הוא x-3*e^x0 השורש שלו הוא 0 מריבוי לפחות 2 אז מה עושים ? אני גם לא מבינה את השאלה עצמה .. תודה
-
אז אם האינטגרל הוא לא מסוים שתי התוצאות נחשבות לנכונות ?
-
יש משהו מוזר שלא מסתדר לי .. כאשר עושים אנטגרל של 1/3v יוצא 1/3ln3v ואם אני עושה את אותו האנטגרל ומוציאה 1/3 החוצה יוצא לי 1/3lnv אני מפספסת פה משהו ? 8-[
-
אבל אנחנו לא צריכים קודם כול לנרמל את המד"ר ואחר כך להחליט מה p(X)?
-
טוב הייתה טעות בפיתרון שלי תיקנתי ויצא לי y2= -x^3/4(x+1) +c/x+1 עכשיו כאשר אני מציבה y(1)=0 אני מקבלת y2=-x^3/4(x+1) +1/4(x+1) אבל זאת לא התשובה של וולפראם .. וולפראם אומר שהתשובה היא c2x^3/x+1 +c1/x+1 אז זה אומר שיש טעות?
