מעבר לתוכן

שמיל

Members
  • הודעות

    9
  • הצטרפות

  • ביקור לאחרון

Profile Information

  • מין
    לא מגלה

שמיל's Achievements

Newbie

Newbie (1/14)

0

מוניטין

1

תשובות לשאלות קהילה

  1. אוקיי, בסוף דווקא הסתדר נראה לי. צריך קצת לשחק עם סימנים כדי שזה יהיה הגיוני. תודה!
  2. אוקיי תודה על התשובה! רק יש לי בעיה, המינוס בחזקה של ה e לא מפריע לי להגיע להצגה של מקדם בטור פוריה מרוכב? אני רוצה ביטוי בצורה של e בגובה inx+.
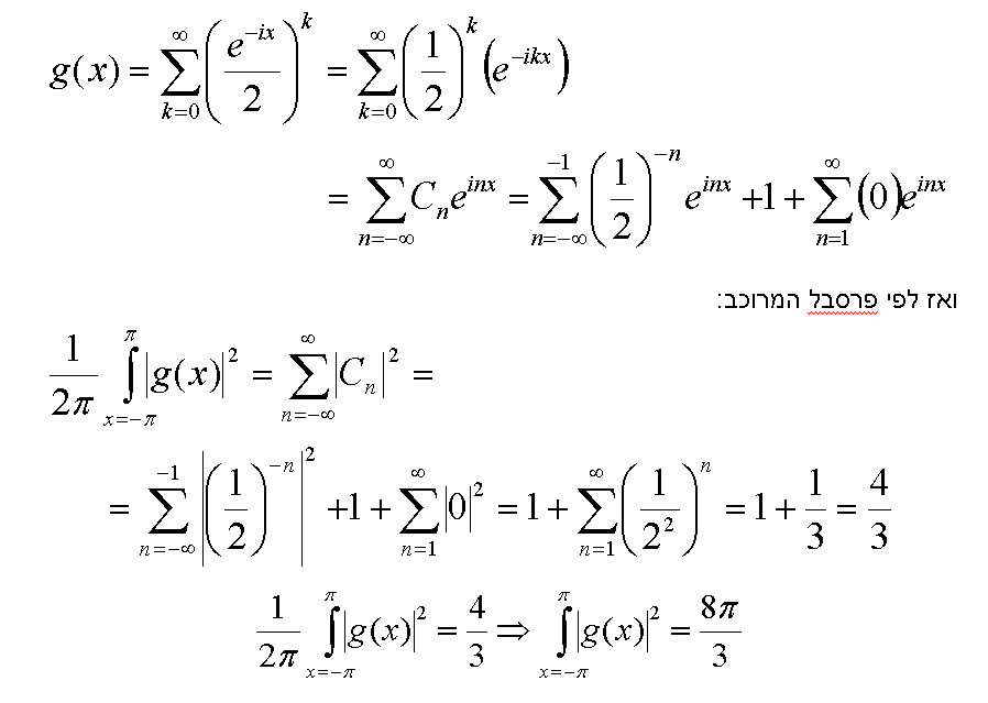
  3. היי, אשמח לקצת הכוונה בשאלה. לפי וולפראם, התשובה הסופית צ"ל 8π/3. תודה
  4. טרם למדתי מערכות סינכרוניות אז אני מניח שלא יהיה מנוס מלוגיקה. תודה!
  5. הי, אני נדרש לתכנן מערכת לוגית שתמיר מספר בעל 6 ספרות בינאריות (בתחום 0-63) לשתי ספרות BCD (שמונה ביטים). לדוגמה- קלט של 2(100101) יש להמיר ל- 0111 0011. אני מניח שהכוונה לא הייתה שאכתוב טבלאות אמת ואצמצם 8 פונקציות עם 6 משתני כניסה כ"א? יש כיוון לפתרון שהוא יותר אלגנטי? תודה
  6. תודה רבה על התשובה! אני רק לא בטוח שהבנתי איך הפונקציה הזו עובדת. כשאתה אומר f(x)=x/n when n-1<x<n אתה מתכוון ש- n היא פונקציה כלשהי של x?
  7. אכן כל הנתונים בתמונה המצורפת. בטוח שיש דוגמה נגדית?
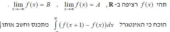
  8. היי, אשמח לקצת עזרה עם השאלה. (מצורפת תמונה) אני מבין שהפונקציה שואפת לאפס באינסוף ובמינוס אינסוף. תכננתי לחלקאת הישר ל-3 קטעים: קטע סגור באמצע שעבורו ההתכנסות היא טריוויאלית ועוד שני קטעים חצי סגורים. הבעיה היא שאני לא מצליח להחיל על הקטעים האינסופיים שום מבחן התכנסות.
×
×
  • יצירת חדש...