Rony667 פורסם יולי 4, 2015 דיווח שיתוף פורסם יולי 4, 2015 שלום אפשר עזרה בשאלה הזאתלא הצלחתי למצוא הצבה מתאימה בגלל שלא הצלחתי לצייר ולדעת איך נראה התחום בכלל ! תודה מראש לכל העונים :) ציטוט קישור לתוכן שיתוף באתרים אחרים More sharing options...
אודי פורסם יולי 4, 2015 דיווח שיתוף פורסם יולי 4, 2015 העקומים http://www.codecogs.com/gif.latex?y=x%5E2 ו-http://www.codecogs.com/gif.latex?y=%5Csqrt%7Bx%7D נחתכים בשתי נקודות, x=0 ו-x=1. אלו גבולות האינטגרציה היחידים שלא נתונים לך.שים לב שבתחום הזה הריבוע קטן יותר מהשורש, ולא ההפך. סה"כ הנפח הוא: http://www.codecogs.com/gif.latex?V=%5Cintop_0%5E1%5Cintop_%7Bx%5E2%7D%5E%7B%5Csqrt%7Bx%7D%7D%5Cintop_0%5E%7Bxy%7Ddx%5C,dy%5C,dz=%5Cintop_0%5E1%5Cintop_%7Bx%5E2%7D%5E%7B%5Csqrt%7Bx%7D%7Dxy%5C,dx%5C,dy=%5Cintop_0%5E1%5Cfrac%7Bx%5E2%7D%7B2%7D-%5Cfrac%7Bx%5E5%7D%7B2%7D%5C,dx=%5Cfrac%7B1%7D%7B12%7D ציטוט קישור לתוכן שיתוף באתרים אחרים More sharing options...
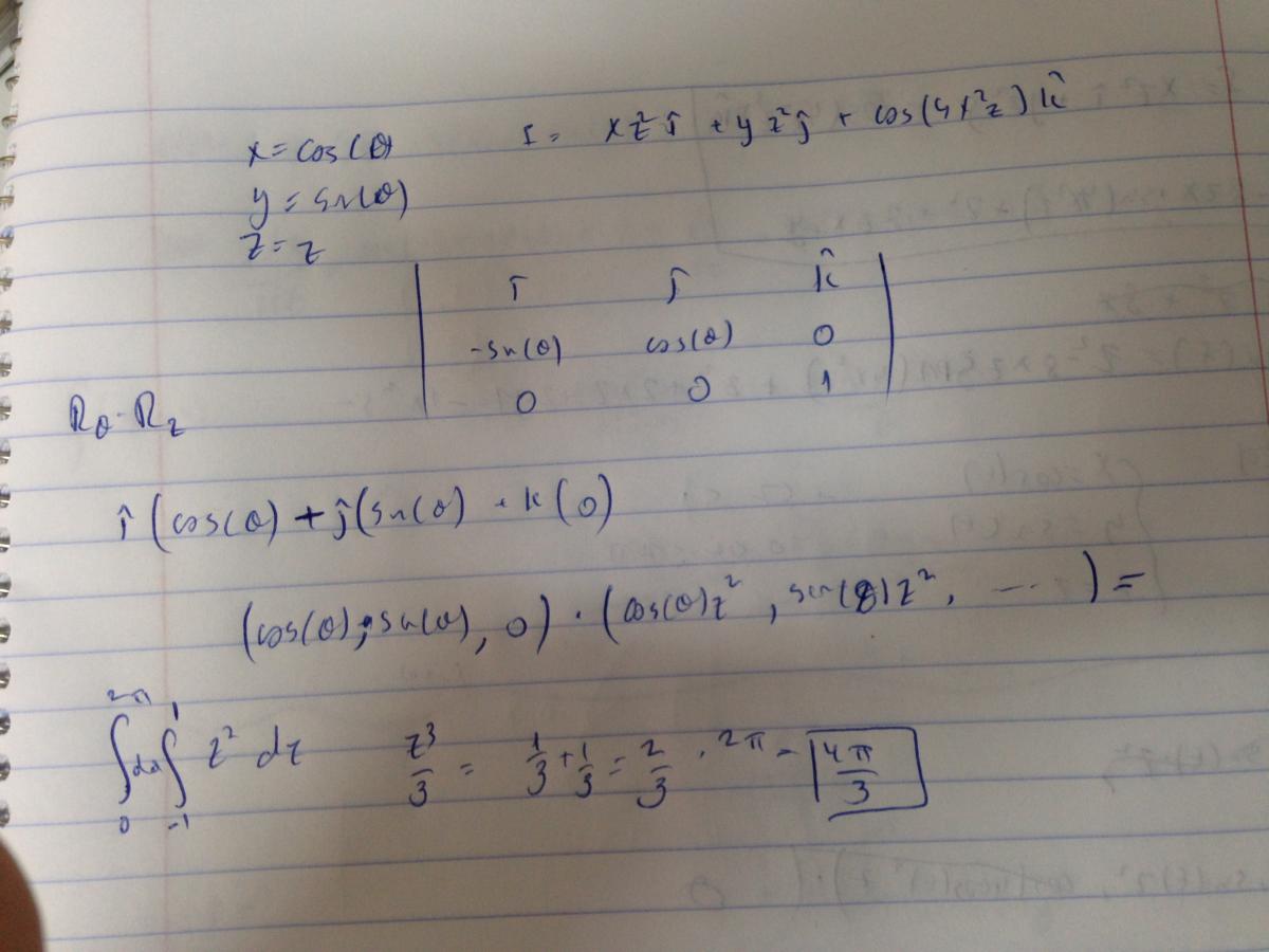
Rony667 פורסם יולי 5, 2015 מחבר דיווח שיתוף פורסם יולי 5, 2015 תודהה :))) אודי מה הבעיה בפתרון שלי ?מצורפת השאלה והנסיון שלי ציטוט קישור לתוכן שיתוף באתרים אחרים More sharing options...
אודי פורסם יולי 5, 2015 דיווח שיתוף פורסם יולי 5, 2015 - הנורמל שלך פונה כלפי חוץ ולא כלפי ציר z כמו שבקשו- תחום האינטגרציה שלך בזווית גדול מדי. רצו חצי מעטפת גלילית (http://www.codecogs.com/gif.latex?y%20%5Cgeq%200) , לא מעטפת גלילית שלמה.- שני התיקונים האלו מביאים אותך לתשובה הנכונה. ציטוט קישור לתוכן שיתוף באתרים אחרים More sharing options...
הודעות מומלצות
הצטרפות לשיח
באפשרותך לשלוח הודעה כעת ולהירשם מאוחר יותר. אם ברשותך חשבון, ניתן להתחבר עכשיו לשליחת הודעה דרך חשבונך.
הערה: הודעתך דרושה לאישור הנהלה לפני הצגתה.