חיפוש הקהילה
מציג תוצאות עבור תגיות 'פיסיקה 1מ'.
-
שאלה מהספר של דוד אגמון: אתה עומד בקו המשווה וזורק אבן אנכית מעלה (בכיוון הרדיאלי ממרכז כדור הארץ) במהירות התחלתית v0. הראה ששיעור הסטייה יהיה http://www.codecogs.com/gif.latex?4/3%20%5Comega%20(v_0)%5E3%20/%20g%5E2 אני יודע שזמן השהייה באוויר הוא http://www.codecogs.com/gif.latex?2v_0/g ותשאוצת קוריוליס היא http://www.codecogs.com/gif.latex?-2%20%5Comega%20%5Ctimes%20v לכן אני מקביל את אותו הביטוי כמו למעלה רק בלי החלקי 3. האם יש טעות בספר?
- 1 תגובה
-
- קוריוליס
- כוחות מדומים
-
(ו1 נוספות)
רשימת תגיות הנוספות:
-
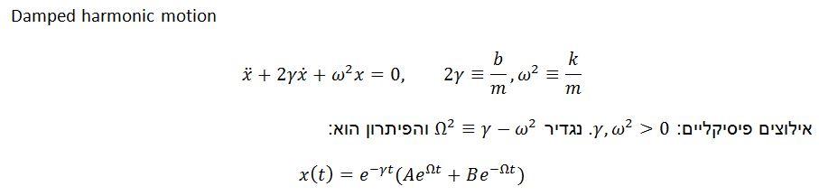
במקרה של אוסילטור הרמוני מרוסן עם חיכוך יחסי למהירות: מהי התדירות המקסימלית בכל אחד מהמצבים של אוסילטור מרוסן? נתקלתי בשאלה הזו בתרגיל ואני לא מבין מה היא אומרת. המשוואה שלי והפתרון שלה הוא כמו שבתמונה:
- 6 תגובות
-
- פיסיקה 1מ
- אוסילטור הרמוני
-
(ו1 נוספות)
רשימת תגיות הנוספות:
-
טיל (שמסתו m) נורה מכוכב לכת במהירות v_0 ובזווית alpha ביחס לציר הרדיאלי. מהו התנאי על המהירות כדי שהטיל יצליח להימלט מהשפעת הגרביטציה של הכוכב? הניסיון שלי: אני יודע איך לפתור שאלה דומה לזו - אם מבקשים את המהירות של הטיל כאשר הוא יוצר מהירות v_1 שכיוונה הוא זווית beta עם הציר הרדיאלי והוא נמצא בגובה R_1 מעל הכוכב. אז משימור תנע זוויתי ומשימור אנרגיה מקבלים: http://www.codecogs.com/gif.latex?0.5m%20v%5E2_0%20-%5Cfrac%7BGM_e%20m%7D%7BR_e%7D=0.5m%20v%5E2%20_1%20-%5Cfrac%7BGM_e%20m%7D%7BR_1%7D http://www.codecogs.com/gif.latex?mR_e%20v_0%20%5Csin%7B%5Calpha%7D=mR_1%20v_1%20%5Csin%7B%5Cbeta%5D האם עלי להציב R_1 שואף לאינסוף, beta=90 ו- v_1 =0? תודה.
- 5 תגובות
-
- פיסיקה 1מ
- תנע זוויתי
-
(ו2 נוספות)
רשימת תגיות הנוספות:
