חיפוש הקהילה
מציג תוצאות עבור תגיות 'פיסיקה'.
-
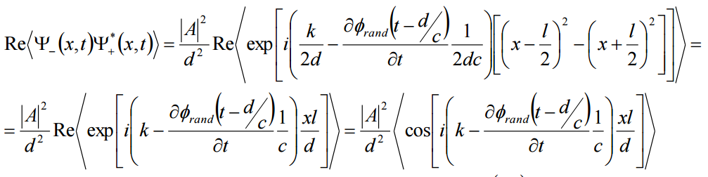
אני צריך לחשב את תבנית ההתאבכות של שני מקורות אור נקודתיים הממוקמים במרחק l זה מזה על פני מדך במרחק d המוצב במקביל לקו המחבר בין שני המקורות, המקיים http://www.codecogs.com/gif.latex?d%5Cgg%20%5Cleft%20%7C%20x%5Cpm%5Cfrac%7Bl%7D%7B2%7D%20%5Cright%20%7C. פוקנצית הגל של המקורות: http://www.codecogs.com/gif.latex?%5Cpsi(%5Cvec%20r,%20t)=%5Cfrac%7BA%7D%7Br%7D%5Cexp%5Bi(kr-%5Comega%20t-%20%5Cphi_%7Brand%7D(t-%5Cfrac%7Br%7D%7Bc%7D))%5D phi rand זהה עבור שני המקורות. פיתוח של r לטור טיילור נותן: http://www.codecogs.com/gif.latex?r%5Ccong%20d+%5Cfrac%7B%5Cleft%20(x%5Cpm%5Cfrac%7Bl%7D%7B2%7D%20%5Cright%20)%5E2%7D%7B2d%7D ובהתאם ל- phi: http://www.codecogs.com/gif.latex?%5Cphi%5Cleft%20(%20t-%5Cfrac%7Br%7D%7Bc%7D%20%5Cright%20)%5Ccong%5Cphi%5Cleft%20(%20t-%5Cfrac%7Bd%7D%7Bc%7D%20-%5Cfrac%7B%5Cleft%20(%20x%5Cpm%5Cfrac%7Bl%7D%7B2%7D%20%5Cright%20)%7D%7B2dc%7D%5Cright%20)%5Ccong%5Cphi%5Cleft%20(%20t-%5Cfrac%7Bd%7D%7Bc%7D%20%5Cright%20)-%5Cfrac%7B%5Cpartial%20%5Cphi%20%5Cleft%20(%20t-%5Cfrac%7Bd%7D%7Bc%7D%20%5Cright%20)%7D%7B%5Cpartial%20t%7D%5Cfrac%7B%5Cleft%20(%20x%5Cpm%5Cfrac%7Bl%7D%7B2%7D%20%5Cright%20)%5E2%7D%7B2%20d%20c%7D ה"נוסחה" לעוצמה: http://www.codecogs.com/gif.latex?I(x,t)=%5Cleft%20%5Clangle%20%5Cleft%20%7C%5Cpsi_%7B-%7D%20%5Cright%20%7C%5E2%20%5Cright%20%5Crangle+%5Cleft%20%5Clangle%20%5Cleft%20%7C%5Cpsi_%7B+%7D%20%5Cright%20%7C%5E2%20%5Cright%20%5Crangle+2Re%5Cleft%20%5Clangle%20%5Cpsi_%7B-%7D%5Cpsi%5E*_%7B+%7D%20%5Cright%20%5Crangle ועכשיו, אני לא מבין את הפיתוח לביטוי המעורב. אשמח לעזרה שם (תמונה).
-
נתון גל מונוכרומטי מישורי בעל מספר גל k התמתקדם בזווית פגיעה alpha לקראת סריג עקיפה מחזורי עם מחזוריות l. אני צריך לחשב את זוויות הקרניים של הלגים המתפזרים מהסריג. כלומר, אני מתייחס לסריג כאל סדרה של מקורות אור נקודתיים עם הפרש פאזה ביניהם שהמרחק ביניהם הוא l. הפאזה היחסית ביניהם נקבעת מהפאזה של הגל הפוגע. אני צריך עזרה במציאת הקשר הזה. הפתרון לתרגיל אומר כי הפרש הפאזה בין שני מקורות סמוכים שממוקמים ב- http://www.codecogs.com/gif.latex?x_j=jl;x_%7Bj+1%7D=(j+1)l הוא http://www.codecogs.com/gif.latex?-kl%20%5Csin(%5Calpha) ואשמח לרמז מדוע זה קורה. בנוסף, מדוע יש "דיסקריטזציה" של http://www.codecogs.com/gif.latex?%5Ctheta_n שרואים בסרטוט? אני בכלל לא מבין מה קורה לקרניים היוצאות מהסריג במקרה הזה של הפרש פאזה כנ"ל. תודה.
-
http://www.codecogs.com/gif.latex?(%5Cpartial%20T%20/%20%5Cpartial%20V)_%7BU%7D מה המשמעות של הנגזרת של T ל- V כאשר האנרגיה הפנימית קבועה? עבור גז אידיאלי קיבלתי שזה =0. מה זה אומר עבור גזים אחרים?
-
יש לבנה A עם קיבול חום http://www.codecogs.com/gif.latex?C_%7BV_A%7D=%5Cfrac%7BdQ%7D%7BdT%7D%7C_V ולבנה B עם קיבול חום http://www.codecogs.com/gif.latex?C_%7BV_B%7D=%5Cfrac%7BdQ%7D%7BdT%7D%7C_V כעת אני מצמד בין 2 המערכות, כלומר מחבר את הלבנים האחת לשנייה. מה אני יכול לומר על קיבול החום של הלבנה החדשה? האם הוא שווה ל- http://www.codecogs.com/gif.latex?C_%5Ctext%7Beff%7D=C_A+C_B, שזה אנלוגי לחיבור של נגדים בטור?
- 5 תגובות
-
- תרמודינמיקה
- תרמית
-
(ו1 נוספות)
רשימת תגיות הנוספות:
-
חלקיק נקודתי בעל מסה m ומטען q נמצא בזמן t=0 במנוחה במרחק d ממישור אינסופי מוארק. א. מהו הכוח הפועל ע החלקיק ברגע t=0? ב. מהי האנרגיה הפוטנציאלית הכוללת של המערכת? ג. כעבור כמה זמן יפגע החלקיק במישור? אשמח לעזרה.
-
נתון קבל כדורי הבנוי משתי קליפות כדוריות בעלות מרכז משותף, בעלות רדיוסים R1<R2. קיבול הקבל הוא http://www.codecogs.com/gif.latex?C=Q/V=%5Cdfrac%7BR_1%20R_2%7D%7Bk(R_2%20-R_1)%7D מהו הקיבול בגבול R2-R1<<R1? איזה קירוב אני עושה?
-
היי, אני מוכרת 2 ספרים בפיסיקה- "אוסף המבחנים של מכינת הטכניון" בנושאים: מכניקה ו-חשמל ומגנטיות הספרים במצב טוב מאוד נמכרים בחצי מחיר- כל ספר 20 שח בלבד. 0523523413 הדר duri2586@gmail.com
