Lior A
Members-
הודעות
28 -
הצטרפות
-
ביקור לאחרון
סוג תוכן
פרופילים
פורומים
לוח שנה
כל דבר שפורסם על-ידי Lior A
-
אתה מהיר , בדיוק באתי לאמר את זה .. אני אכניס את ההוכחה המלאה מחר . תודה רבה על העזרה !
-
תודה רבה , מעניין למה מטריצה אנטיסימטרית מסדר אי-זוגי היא סינגולרית ..
-
אהלן לכולם , אשמח אם תעזרו לי בפתרון שתי שאלות קלילות ,שאין לי פתרון אליהן : שאלה 1- א. תהי מטריצה מסדר 7*7 אנטיסימטרית , כלומר המקיימת : At=-A . האם קיים פתרון לא טריוויאלי למערכת ההומוגנית : http://opal.openu.ac.il/pluginwiris/filter/wrs_showimage.php/d88d34a47e72cc81bdd196dd0bd1a147.png . שאלה 2 -(הוכח/הפרך) A,B מטריצות ריבועיות מסדר n . א. אם A ו B דומות אז : http://opal.openu.ac.il/pluginwiris/filter/wrs_showimage.php/a531364d598f9835dbd4ba5b6069b049.png תודה על כל עזרה שתהא מראש..
-
פירקתי אבל משם דיי הלכתי לאיבוד.. ולמרות שהצלחתי להגיע לביטוי הנכסף בסוף , לא הייתי בטוח , כי דרך הפעולה שלי הייתה : 1)לפרק לבינום 2)להוציא את כל האיברים אשר בכפילתם ב X10 , , יהיו בעלי מקדם אשר גדול מ - 25 (לא הגיוני בגלל שמחפשים את המקדם של 25 ??) . 3)... ועם זאת , לא ברורה לי כל הלוגיקה של התהליך הנ"ל , אז רציתי גושפנקא ממישהו . (אני מניח שזה אומר שאני צריך לעבור על היוצרות עוד פעם ..) ברור לי התהליך של הפירוק לבינום , אבל פחות ברור לי העניין של מחיקת המקדמים הגדולים , שנוצרים מתוך הבינום .. () בכל מקרה , תודה .
-
מישהו?
-
סבבה , תודה . וכן המשכתי בהמשך הפרק ונתקלתי בעוד בעיה .. השאלות בתמונה . בגדול אשמח אם מישהו יסביר מה נעשה כאן ,תודה. (מצורפת תמונה ,הכוללת את השאלות)
-
צהריים טובים , יש תרגיל+פתרון מצורפים , ביקשו בשאלה למצוא את המקדם של X25 . השאלות בתוך התמונה , אשמח אם מישהו יסביר לי , תודה .
-
-
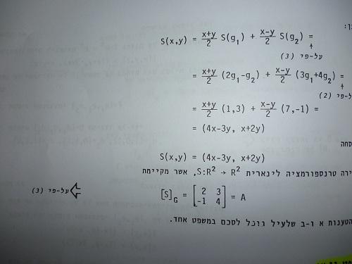
שלום לכולם , אני לא מבין איך הגיעו מהקביעה שבמעלה התמונה למסקנה שבתחתית התמונה .. איך הגיעו להצגה של וקטור ה (x,y ) ? את ה x+y ואת ה x-y אני מבין , אבל את החילוק בשתיים אני לא מבין .. כל עזרה תתקבל בברכה ..
-
ערב טוב לכולם , נתקלתי בשאלה שלא הצלחתי לפתור אותה , כל עזרה תתקבל בברכה .. השאלה מצורפת .. ניסיתי כמה דרכים אבל לא הצלחתי ..
-
פתרתי , תודה
-
השאלה מצורפת דרך הפלאפון , אני מקווה שתבין אותה .. אני הצבתי את הוקטורים הנתונים כשורות ודירגתי כך שראיתי ששלושת v הינם בסיס , ואילו ה w הוא צ"ל שלהם . כמובן שאני לא רוצה שיפתרו לי אותה אלא יותר הכוונה לפתרון
-
העתקות של הוקטורים המקוריים .. עריכה : מצטער על הסרבול .. אם ההעתקות של v1,v2 ,v3 הינן בסיס של V . האם זה משליך שגם הוקטורים עצמם בסיס ?
-
ערב טוב לכולם , נתקלתי בשאלה שנתון לי בה http://www.codecogs.com/gif.latex?%5Bv1%5D%20b%20,%20%5Bv2%5Db%20,%20%5Bv3%5Db%20,%20%5Bw%5Db הצבתי את ארבעתם במטריצה , כשורות ודירגתי , כך שראיתי ששלושת ה -v הם בסיס של המרחב ואילו w הוא צ"ל שלהם .. בשאלה מבקשים ממני להוכיח ש http://www.codecogs.com/gif.latex?C=(v1,v2,v3)%20zz היא בסיס למרחב ( V ) ? די נתקלתי , אני חושב בכיוון של להוציא את ה b מהסוגריים ואז לקבוע בסיס , אבל לא ברור לי אם אני צודק .. כל עזרה תתקבל בברכה , תודה .
-
מצטער .. ערכתי מעלייך : הבנתי תודה , אני כל הזמן פתרתי עד הסוף ... ( מצאתי אלפא , ביתא וגמא - ולא הבנתי איפה הטעות ..) אבל נתקלתי בבעיה אחרת שמבקשים ממני למצוא מימד ובסיס של חיתוך שני התתי מרחבים , את המימד מצאתי ע"פ : dim(U+W)=dimU+dimW-dim(UnW)zz אבל את הבסיס ( וקטור יחיד ) אני מתקשה למצוא .. עריכה : מצאתי גם אותו .. עכשיו בסעיף ג .
-
הבנתי תודה , אני כל הזמן פתרתי עד הסוף ... ( מצאתי אלפא , ביתא וגמא - ולא הבנתי איפה הטעות ..) אבל נתקלתי בבעיה אחרת שמבקשים ממני למצוא מימד ובסיס של חיתוך שני התתי מרחבים , את המימד מצאתי ע"פ : dim(U+W)=dimU+dimW-dim(UnW)zz אבל את הבסיס ( וקטור יחיד ) אני מתקשה למצוא ..
-
עשיתי והגעתי לוקטור .. אבל מן הוקטור שאליו הגעתי די איבדתי את הדרך , בדקתי אם אפשר להגיע ממנו לוקטורים שבקבוצה ( ע"י הכפלת הוקטור בסקלר יחיד ) וראיתי שלא ניתן ..
-
נהיה קשה כאן לעלות תמונות ..
-
בוקר טוב לכולם , נתקלתי בשאלה הנ"ל ואני לא מצליח לפתור אותה .. אשמח להכוונה בדרך הפתרון . ( בכל מקרה כמובן לא להביא לי את הפתרון ) השאלה והפתרון שלי מצורפים .. אני ניסיתי להציב את הסקלרים בעמודה וזה נתן לי מטריצה עם שורת אפסים ובשורה זה נתן לי וקטור כללי שאני לא יכול להגדיר אותו בסיס .. http://up362.siz.co.il/img1/zivyqzniy3jz.jpg http://up361.siz.co.il/img1/g2yzx4ixjzwm.jpg
-
כל השאלה מצורפת ( מחקתי בהודעה הראשונה וצירפתי לכאן את השאלה במלואה , את המשפט ואת הפתרון . ) * הפתרון בהודעה הראשונה . נתון שהוקטורים הם וקטורים ב R^4 ..
-
האם תנאי א מתקיים ? , הרי W הינו למעשה R^4 ..
-
בשביל שסכום יהיה ישר , צריכים שיתקיימו שני תנאים : ( אני מעלה את המשפט - כתמונה ) עכשיו תנאי ב מתקיים וברור לי שצריך הצגה יחידה עבור וקטור האפס . תנאי א , לא ברור לי איך הוא מתקיים כאן ..
-
בוקר טוב לכולם , השאלה מצורפת , הפתרון אומר שהסכום אכן "סכום ישר " , אבל אני לא הבנתי מדוע .. את וקטור האפס הבנתי , אבל את השוואת המרחב לתת מרחבים - לא הבנתי . *הוספתי גם את התשובה *מדובר בסעיף ג
-
שאלה לגבי הוכחת משפט במטריצות (עדכון - הסעיף המתוקן )
נושא הגיב ל- Lior A על Lior A בתוך עזרה בפיתרון תרגילים
כן נכון .. אבל האם X * Y = I , לא מצביע על כך ששתיהן הופכיות משמע Y = X^-1 . (?) זה נכלל במשפטים שהוכחנו בעבר ( וע"פ כן - לא נדרש להוכיחם ונוכל "להשען" עליהם) עריכה : תודה על העזרה והסבלנות .. -
שאלה לגבי הוכחת משפט במטריצות (עדכון - הסעיף המתוקן )
נושא הגיב ל- Lior A על Lior A בתוך עזרה בפיתרון תרגילים
לא קראת את ההודעה האחרונה עד הסוף .. ( נראה לי ) " הוכח שאם המטריצות A , (I+AB) V הפיכות --> אז המטריצה (I+BA) V , הפיכה גם היא , ומתקיים : (I+AB)^-1A=A(I+BA)^-1 . מדובר בסעיף שונה לגמרי , מצטער על הטעות ( אמנם שלא באשמתי , ועדיין ..) נתון ש I+AB הפיכה .. עריכה : הלוא אם I+BA ^-1 הפיכה הרי שגם I+BA הפיכה ? ( אני יכול לשלוף משפט ) שהרי : A * A^-1 = I
