spider
Members-
הודעות
27 -
הצטרפות
-
ביקור לאחרון
סוג תוכן
פרופילים
פורומים
לוח שנה
כל דבר שפורסם על-ידי spider
-
עוד משהו אחרון בהחלט לגבי שאלה 3 (ובכלל): בסעיף ג, מה הקליפה הכדורית תורמת לפוטנציאל בראשית ? סעיף נוסף: כאשר הקליפה מוליכה, מחברים אותה לאדמה, מהי כמות המטען שתזרום מהקליפה לאדמה ? האם הדרך לפתרון היא ע"י השוואת הפוטנציאל ב-R: K*Q/R+k*q/2R=0 ואז המטען שיזרום הוא q/2 (בעצם 0 לפני וחיסור של מינוס q/2 (כתוצאה ממציאת Q ממקודם)) ? וכיצד צריכות להשתנות התשובות לשני הסעיפים הללו, אם הצפיפות המשטחית היא כפונקציה של sin (במקום ה-cos) ?
-
יש לי עוד כמה שאלות נוספות: בתמונה מופיעה פונקציה המתארת את הפוטנציאל במרחב. בנקודה x=a/2 משחררים ממנוחה מטען q שלילי בעל מסה m. צריך לחשב כעבור כמה זמן המטען יחזור חזרה לנקודה ההתחלתית? השאלה שלי: איפה המטען (כאשר הוא משמאל לראשית) ייעצר לפני שיחזור חזרה למיקום שממנו שוחרר ? בשאלה 2 - מה צריכים להיות הגבולות של האינטגרל בחישוב של השטף ? בשאלה 3 - איך פותרים את סעיף ד ? תודה
-
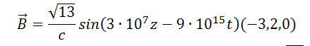
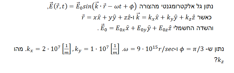
אשמח לקבל עזרה עם השאלות הבאות. א. נתון גל אלקטרומגנטי המתאר את כיוונו של שדה החשמלי: כאשר e ווקטור יחידה שלא ידוע. צריך להציע כיוון לשדה החשמלי. האם כל ווקטור שמאונך לכיוון של התקדמות הגל z (0.3,0.2,-0.1)/0.37 z יכול להתאים (ה-z רק בשביל היישור של הכתוב )? ב. מה ניתן להשתמש בשאלה הבאה כדי למצוא את הרכיב ב-z-י של כיוון התקדמות הגל ? ג. נתון גל אלקטרומגנטי המתאר את כיוונו של שדה החשמלי יש למצוא את השדה המגנטי, והתשובה היא: בחישוב אני מקבל אותה תשובה בלי ה-שורש 13, האם פיספתי משהו בחישוב ? ד. בהינתן ווקטור שטח S ווקטור פוינטינג, מהן שתי הנוסחאות שבאמצעותן וע"י שימוש בווקטורים האלו, ניתן לחשב את ההספק הכללי וההספק הממוצע במערכת? האם זה נכון: מכפלת ווקטור פוינטינג בשטח, נותנת הספק ? הערך הממוצע של ווקטור פוינטינג כפול השטח, נותן את ההספק ממוצע? תודה
-
לגבי השאלה הראשונה: א. בסעיף ב של השאלה, חישוב הזרם Iin חושב החל מ-r (בתחום קטן מהרדיוס a) ועד הרדיוס a עצמו. כפי שהדגשת, הזרם זורם בכיוון המשיקי (שאגב הסיבה שצריך להסיק זאת (את הכיוון), זאת כיוון שהגליל נע (ולא עומד במקום) ?). וניתן לראות שכאשר r=a מקבלים ש-Iin הוא כל הזרם, וככל שמתרחקים מהמרכז (ביחס לציר הסימטריה של הגליל) הזרם דועך, ואני טועה מדוע זה כך? כי בשאלה השניה, בחישוב ה-Iin (עבור חישוב השדה בסעיף א), הוא החל מ-r=0 ועד r כלשהו (בתחום של r<R), וכיוון הזרם הוא ככיוון ציר הסימטריה של הגליל (שוב אני מנסה להבין את הרעיון (וההבדל בגישה) בין שני המקרים (של שני המקרים השונים בשאלות הללו)?). ב. אני מנסה להבין מה הרעיון של המסגרת המלבנית (שוב, עבור כיוון הזרימת הזרם הנ"ל) בחישוב השדה המגנטי(את אופן החישוב הבנתי, אבל למה הבחירה בצורה הנ"ל ומהי ולמה היא עוזרת "ללכוד" את הזרם שבתוך הגליל) ? ג. בשרשור http://forums.techstud.net/index.php/topic/13904-%D7%A6%D7%A4%D7%99%D7%A4%D7%95%D7%AA-%D7%96%D7%A8%D7%9D/ הזכרת שני מקרים של חישוב שטח עבור גליל (בכיוון הרדיאלי ובכיוון ציר הסימטריה), אך מה קורה כאשר הזרם זורם בכיוון המשיקי (אני הסקתי שגם מחשבים שטח לפי מעגל, כי למשל בסעיף ג, כך מקבלים את התשובה הנכונה)? ד. האם את כיוון השדה המגנטי כאן, הסקת רק באמצעות ידיעת כיוון הזרם (כמו שאמרת שנובע מסעיף א)? האם מידיעת כיוון הזרם בלבד (ללא שימוש בנתונים נוספים) אני יכול להסיק על כיוון השדה המגנטי (וגם ולהפך)? ובאילו מקרים כאשר נתון לי השדה המגנטי, כדאי/אפשר להשתמש בנוסחה http://www.codecogs.com/gif.latex?%5Cvec%7B%7D%5Cbigtriangledown%20%5Ctimes%20%5Cvec%7BB%7D כדי לגלות את כיוון הזרם ? לגבי השאלה השניה: איך אפשר לענות על סעיף ה של השאלה? שאלה נוספת: מהי כמות המטען (Qin) עבור התחום r<R1, ולמה ? ועד שאלה בנוגע לכיוון הזרם המושרה: מה המשמעות של הסימן מינוס בחישוב הכא"מ, כי נתקלתי במקרים של חישוב הערך המוחלט וכאלו שלא? עפ"י מיטב הבנתי, זה אמור (הסימן) לעזור בקביעת כיוון הזרם המושרה (למרות שאני לרוב נוהג לחשב בערך המוחלט מבלי להתחשב בסימן, אלה אם אני אבין איך ניתן להשתמש בו כך שתמיד ייתן תשובה עקבית לצורך קביעת כיוון הזרם המושרה), נכון? למשל איך ניתן להשתמש בזה, על מנת לחשב את מגמת הזרם בסעיף ד של השאלה הראשונה? ובאופן כללי אם נניח וכיוון השדה הוא פנימה לתוך הדף: כאשר השינוי בשטף הוא חיובי, אז הזרם המושרה יזרום נגד כיוון השעון (מתנגד לשינוי בשטף)? וכאשר השינוי הוא שלילי (השדה הולך וקטן) , אז כיוון הזרם הוא בכיוון השעון? האם כאשר כיוון השדה הוא הפוך, אז גם הכיוונים שתוארו מתהפכים? שוב תודה על העזרה הרבה.
-
אשמח לקבל עזרה עם השאלות הבאות: בסעיף ב - עפ"י התשובה הסופית, נבחרה לולאה בהיקף של L, שלא ממש ברור לי למה ומה המשמעות של זה, מה הסיבה הלולאה של r*2*pi לא נכונה כאן? סעיף ד- אני מנסה למצוא את הכא"מ (ואח"כ באמצעותו את הזרם המושרה במסגרת) הבעיה שאני לא מצליח להגיע לביטוי נכון (כזה שמכיל w*w כמו בפתרון), אפשר קצת עזרה עם הדרך לפתרון הסעיף? שאלה נוספת: 1 בשאלה הנ"ל כיוון השדה המגנטי הוא http://www.codecogs.com/gif.latex?%5Chat%7B%5Ctheta%20%7D , אך החישוב של הכיוון כאן הוא יחסית פשוט (ע"י ביו-סבר), יש שאלות שלא תמיד נתונים (או ניתן להסיק כאלו לבד) הפרמטרים על מנת לחשב את כיוון השדה, ובכל זאת הרבה פעמים זהו כיוונו. אלו דרכים נוספות (מלבד ביו סבר, למשל אינטואיטיבית) מאפשרות לגלות את כיוון השדה בקלות מנתונים/שרטוט השאלה ? 2 מתי ניתן להסיק שיש זרמי העתק ? האם תמיד השדה החשמלי משתנה בזמן (יש גם מקרים נפוצים נוספים שניתן להסיק אותם, מבלי לדעת מראש על שינוי השדה בזמן) ? 3 בסעיף ג, השדה בין הגלילים הוא שדה של לוח? ואם כן מאיזה שיקולים אפשר להסביר זאת ? תודה
-
תודה על העזרה, יש לי עוד שאלה נוספת. http://s24.postimg.org/tab81xtut/image.png לגבי שני הסעיפים האחרונים. איך אפשר לקבל את השדה המגנטי בתחום זה, כי לפי התשובה אני מבין שזה בדיוק הזרם שנמצא בתוך הגליל, וקצת לא ברורה לי הסיבה לכך (ובפרט איך אפשר להשתמש בנתון שצפיפות הזרם היא שווה ל-0 בתחום השני) ?
-
אני צריך מעט עזרה עם השאלה הבאה: בסעיך ב של השאלה: חישבתי את הזרם שיוצא, ויצא לי שהוא שווה לרבע מהזרם הכללי, והזרם שנכנס (דרך התיל) הוא כל הזרם. וכך קיבלתי שזרם Iin הוא שווה ל-מינוס 3/4 מסה"כ הזרם (מכאן חישבתי את האינטגרל המסלולי). הייתי מעוניין לדעת מה הדרך המומלצת למצוא את סה"כ הזרם שיוצא מהגליל (מהדף אליי) (אני חישבתי זאת לפי רבע מהשטח של הצינור הגלילי, האם יש דרך יותר "אלגנטית" לקבל את אותה התשובה?) . בסעיף ג של השאלה: האם הדרך הבאה לפתרון השאלה נכונה? חישוב הכוח המגנטי שפועל על התיל עם אינטגרל על http://www.codecogs.com/gif.latex?I*%5Coverrightarrow%7Bdl%7DX%5Coverrightarrow%7BB%7D בגבולות של אורך התיל (שלא נתון כאן, לכן מ-0 על L נרשם) (שדרך אגב, כיוונו מוגדר כ- http://www.codecogs.com/gif.latex?%7B%5Cwidehat%7Bz%7D%7D- , כי יש להציב את הזרם של התיל בחישוב, כן?) ואז נעשה שימוש בחוק השלילי של ניוטון כדי לחשב את הכוח שמופעל על הצינור (וחלוקה באורך התיל).
-
הסבר - נתון גליל ארוך מאוד בעל רדיוס R. מוליכות החומר בגליל היא כפונקציה של r, בנוסף בגליל יש שדה חשמלי אחיד וקבוע. יש למצוא את השדה המגנטי בשני תחומים שונים (בתוך ומחוץ לגליל). אז תחילה חישבתי את הזרם (קודם חישבתי כמובן את צפיפות הזרם, ואז חישבתי אינטגרל וכו') עבור המקרה הראשון (התחום שבתוך הגליל). עבור המקרה השני, הצבה של r=R בביטוי הזרם שקיבלתי (קודם), נתנה לי את הזרם במרחק זה ביחס לראשית. עכשיו, על מנת לחשב את השדה המגנטי בתחום r>R, אז הפתרון הנכון מתקבל ע"י לולאת אמפר מסביב למעגל יחד עם הצבת הזרם הנ"ל (ב-r=R). מבחינה פיזיקלית, לא ברור לי מה הסיבה שעבור תחום זה, החישוב מתבצע בצורה הזו (ולא נכונות חוק אמפר בכלל, אלה עבור המקרה הספציפי הנ"ל, למה כך מתבצע החישוב או יותר נכון למה אלו הן ההצבות בחוק )?
-
שאלה נוספת (לא מתקשרת לנושא הראשי או לשאלה האחרונה שכתבתי): נניח ורוצים לחשב שדה מגנטי בתחום r>R כאשר R הוא רדיוס של גליל ארוך. אז כאשר מציבים r=R בחישוב צפיפות הזרם (כאשר היא איננה קבועה), בעצם מקבלים את הזרם במרחק R ביחס לראשית. וכאשר נשתמש בחוק אמפר לשם מציאת השדה המגנטי בתחום זה, אז לולאת אמפר תקיף לנו מעגל, והזרם שיוצב הוא זה שחושב קודם. השאלה שלי היא - מה הסיבה לחישוב זה (הזרם והלולאה, מבחינה פיזיקלית), עבור השדה בתחום זה?
-
גיליתי מה הייתה הטעות. מה שכן, שאלה באותו הקשר (לגבי שטח חתך). מוט גלילי ארוך שהרדיוס שלו R1, זורם זרם חשמלי I. הזרם חוזר דרך המעטפת שהיא צינור חלול עם הרדיוסים R2 ו -R3. יש לחשב את השדה המגנטי כפונקציה של המרחק r. למה חישוב שטח החתך כאן צריך לעשות לפי שטח מעגל ?
-
מהו S בביטוי I/S עבור צפיפות הזרם? עפ"י ההגדרה ידוע לי שזהו שטח החתך, אך למשל עבור סימטריה כדורית, ראיתי חישובים בהם S חושב בתור שטח מעטפת (4*pi*r*r), ובחישובים אחרים בתור שטח של מעגל (pi*r*r), אם כך מה באמת החישוב הנכון (בכלל ובפרט עבור סימטריה כדורית) ?
-
אני צריך קצת עזרה עם סעיפים ג ו-ד (אין צורך בפתרון, אלה רק מענה על השאלות שלי מטה, בהקשר של סעיפים אלו). בסעיף ג, אני יודע שכיוון שמתקיים שימור מטען אז סה"כ המטען במערכת הוא 3Q. אך אני לא מבין היטב את הסיבה והמשמעות לכך (האם זה בגלל שהמעגל סגור, אז מתקיים שימור מטען ולכן סך המטענים במעגל נשאר זהה, ולא משתנה לאורך זמן (האם יש מגבלה על פרק זמן זה) ?) ובסעיף ד, מה הסיבה לכך שהמתח על שני הקבלים יהיה זהה אחרי זמן ארוך מאוד (האם זה לא נכון מיד שסוגרים את המעגל, אז המתחים יהיו זהים) ? תודה
-
עדיין אני מתקשה להבין דבר קטן אך חשוב. מה הסיבה שבודקים החל מ-r=3R (איזה נתון צריך לחפש בשאלה, כדי לדעת את סדר ההצבה באינטגרל), ובדיוק בצורה דומה גם בשאלה הבאה (כדי לחשב את המתח בקצוות הסוללה, למה באינטגרל מחשבים החל מ-x=d ולא להפך (x=0) ) ? http://s2.postimg.org/wbwugazft/image.png
-
בסעיף ה של השאלה הבאה: http://s13.postimg.org/avwbtudef/image.png על סמך מה צריך להסיק שאת הפרש הפוטנציאלים (בשביל חישוב המתח) מחשבים מ-r=3R ועד r=R (ועפ"י מה ניתן להסיק בשאלה שהפוטנציאל ב-r=3R מתאפס) ?
-
תוכל להסביר בבקשה את המשפט הבא :
-
אשמח לעזרה עם סעיף ו עם דגש על ההסבר. תודה http://s24.postimg.org/6a8ha7tet/image.png
-
אפשר קצת עזרה בעיקר עם שני הסעיפים האחרונים http://s17.postimg.org/go8r97xy7/image.png
-
אשמח לקבל הכוונה איך להגיע לפתרון של השאלה הבאה (ספציפית הטכניקה, ופחות החישובים המספריים). http://s15.postimg.org/3lsdse2t7/image.png
-
ששואלים מהי כמות האנרגיה שהשתחררה (בסיטואציה כלשהי), האם הכוונה היא לכמה אנרגיה איבדנו בין מצב א למצב ב (כלומר לשינוי באנרגיות ) ?
-
לגבי הפוטנציאל בתחום r<a: איך אפשר להסביר את משמעות הפתרון הזה במילים ולאו דווקא בצורה טכנית ? דרך אגב, החלק של הגבולות באינטגרל עבור מציאת הפוטנציאל, אני נוהג בד"כ להתבלבל בסדר (מי למטה ומי למעלה, כי תמיד ההגיון אומר לי שזה בדיוק להפך ממה שזה בפועל צריך להיות), אם כך אז איך עובדת החוקיות (יש קשר לזה שתמיד הולכים מפוטנציאל גבוה לנמוך עבור מטענים חיובים?) של הצבת סדר הגבולות ומה ההגיון שעומד מאחוריה ?
-
איך מוצאים את הפוטנציאל בסעיף ד? ומהם הגבולות של האינטגל עבור כל תחום, כיוון שניסיתי כמה שניראו לי הגיונים אך ההפתרון לא נכון עבורם. ולגבי סעיף ב, אם אפשר לקבל הסבר למה משוואת לפלס עוזרת כאן בפתרון זה יעזור מאוד. השאלה: http://s13.postimg.org/ptj9zc6lj/image.png תודה
-
ראיתי דרך הרבה יותר מסובכת מזו, הדרך שהצעת כאן ממש פשוטה. אם אני מבין אותך אז: מספיק למצוא פונקצית פוטנציאל לפי אחד מהחלקים (באופן כללי dx,dx או dz), ואז לעשות הצבה של הנקודות? יש מקרים מסויימים שהדרך הזו לא תעבוד ? למשל השדה האחרון בשאלה, קיבלתי שהוא משמר (אלה אם זה לא נכון), אך בניסון למצוא את פונקצית הפוטנציאל שם לא מקבלים אותה בדרך הזו, למה?
